תפריט ניווט
דף הבית
מתמטיקה
אנגלית
עברית
העשרה
לשון
מיצ"ב
אתגרים
הכנה לכיתה א׳
זהירות בדרכים
מבחנים
הירשם/י
איך פותרים?
בחר/י מנוי
בחר/י מנוי
כניסה
התחבר/י באמצעות
התחבר/י באמצעות פייסבוק
- או -
כתובת דוא"ל או כינוי
סיסמה
שכחת את סיסמתך?
כניסה
חדש/ה כאן?
הירשם/י עכשיו
צור קשר
תרגול במתמטיקה
גן חובה
כיתה א'
כיתה ב'
כיתה ג'
כיתה ד'
כיתה ה'
כיתה ו'
כיתה ז'
כיתה ח'
כיתה ט'
בית ספר תיכון
הכנה לבגרות 801
הכנה לבגרות 802 (שאלון 381)
הכנה לבגרות 803 (שאלון 382)
הכנה לבגרות 804 (שאלון 481)
הכנה לבגרות 805 (שאלון 482)
דף הבית
תרגול במתמטיקה
מתמטיקה » כיתה ז' » אומדן על ציר ה-x
מתמטיקה » כיתה ז' » אומדן על ציר ה-x
אנו מצטערים, אבל Javascript חייב להיות מופעל בדפדפן שלך כדי להציג את אתר זה כמו שצריך.
אנא הפעל Javascript בדפדפנך.
חזור לרשימת נושאים
התחל לתרגל
חזור לרשימת נושאים
התחל לתרגל
תרגילים לדוגמא
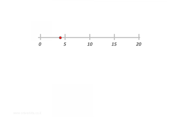
בחרו את התשובה המתאימה
מהו האומדן המתאים ביותר לנקודה האדומה?
1.3
1.8
1.5
0.8
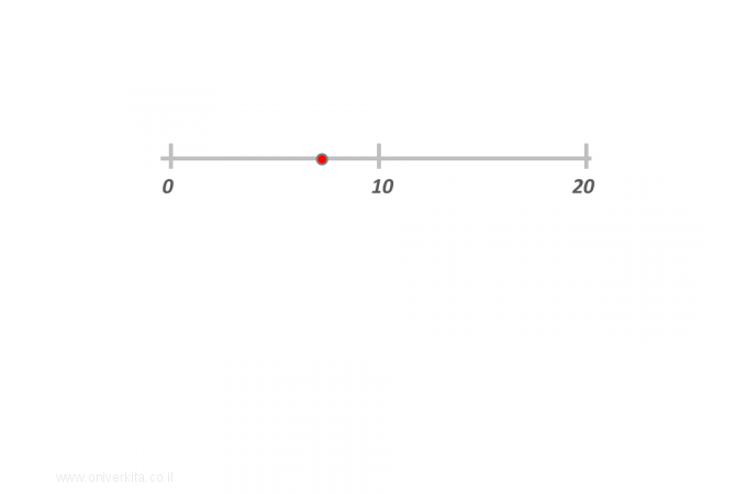
בחרו את התשובה המתאימה
מהו האומדן המתאים ביותר לנקודה האדומה?
1
0.5
0.1
0.8
בחרו את התשובה המתאימה
מהו האומדן המתאים ביותר לנקודה האדומה?
1.5
0.4
0.1
0.9
בחרו את התשובה המתאימה
מהו האומדן המתאים ביותר לנקודה האדומה?
1.8
0.2
0.4
3.2
בחרו את התשובה המתאימה
מהו האומדן המתאים ביותר לנקודה האדומה?
2
9
4
0.4
Previous
Next
חזור לרשימת נושאים
התחל לתרגל